北理工物理学院在超导体非互易性输运特性调控方面取得重要进展

2023年12月26日


日前,北京理工大学物理学院姚裕贵教授团队乔佳斌副研究员与清华大学物理系的张定副教授团队合作,通过在超导NbSe2中添加直流偏置,量化了涡流液体状态中的对称破缺效应,揭示了涡旋棘轮效应的物理原理,为在广泛的超导体中实现偏置可调的非互易性输运开辟了新的研究思路和方向。相关研究成果以“Electric Tuning of Vortex Ratchet Effect in NbSe2”为题发表在顶级期刊《Nano Letters》上(影响因子10.8)。

非互易性电荷输运通常是指电流在两个方向上的流动表现出不同特性的现象,这一独特的物理效应对于理解和构筑新型电子学器件具有重要意义。在超导体中,非互易电荷输运可以通过所谓的涡旋棘轮效应(vortex ratchet effect)来实现,这是一种利用超导体中的涡旋(一种磁通量量子化的磁结构)运动来实现电流方向依赖性的机制。在早期的研究中,科学家们通过在II类超导体中引入非对称的钉扎势(一种限制涡旋运动的机制)来实现非互易性,通过交变电流(AC)驱动涡旋沿一个特定方向运动,从而在直流(DC)下产生电压。此后,研究者们提出了更简单的方案,通过利用材料表面的能量势垒的不对称性或厚度梯度来实现涡旋运动的优选方向。近年来,非互易电荷输运的研究领域扩展到了本质上缺乏反演对称性的材料,例如通过离子门控的2H-MoS2、少层2H-NbSe2和块体PaTaSe2等材料,它们具有非中心对称的晶格结构。这些材料中的中心反演对称性破缺,以及界面系统中的原子缺陷,都能有效地产生不对称势,形成一种本征的“推动力”,导致涡旋运动的非对称性。


图1 超导NbSe2的非互易电荷输运行为。


图2 有限磁场下直流偏置对NbSe2非互易输运的调制作用。

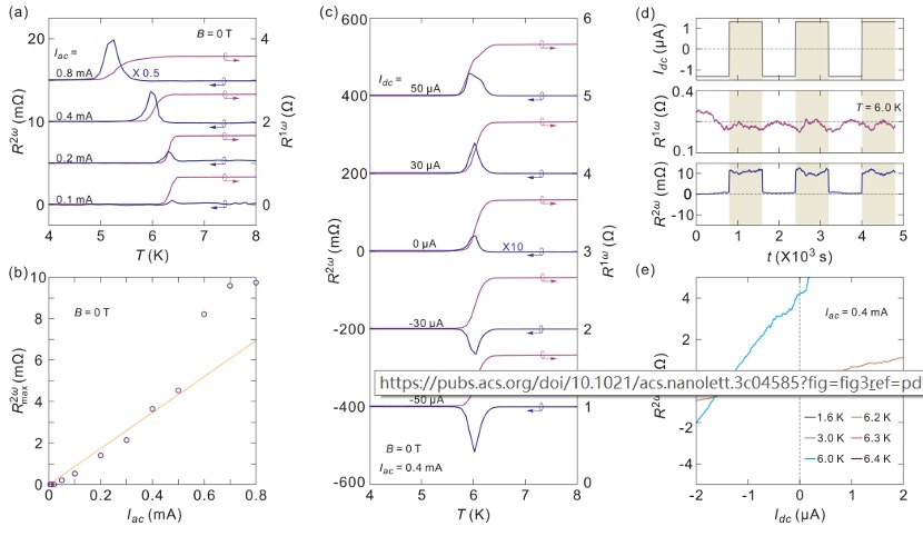
在最新研究中,上述合作团队在晶体结构具有中心对称的块体NbSe2中观测到了显著的非互易电荷输运行为。进一步地,通过引入直流(DC)偏置,研究人员量化了涡流液体状态下的对称性破缺效应,并发现直流偏置能够调控非互易电荷输运(具体表现为在不同平面电流方向下均有较强的二次谐波信号)。此外,研究人员还发现,在没有外加磁场的情况下,通过调节直流偏置,也可以实现非互易电荷输运的开关控制,这就为实现无磁场条件下的非互易电荷输运提供了可能。最后,作者探讨了在零磁场下观察到的第二谐波信号的可能机制,提出了有效直流偏置的概念,这一偏置可能由非理想接触产生的整流效应引起。这项研究不仅丰富了人们对于晶体中心对称材料中非互易电荷输运产生机制的物理理解,而且为设计新型超导电子器件提供了一种新的调控方法,即通过电场调控涡旋棘轮效应,这对于超导电子学的发展具有重要的推动作用。


图3 零磁场下直流偏置对NbSe2非互易输运的调制作用。

物理学院乔佳斌副研究员为本文的共同通讯作者。本工作得到国家科学技术部、国家自然科学基金项目的资助和北京理工大学青年学者科研基金项目的支持。